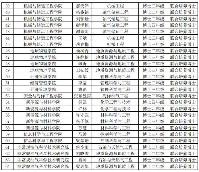
根据国家留学基金委的有关选拔原则与具体要求,经个人申请、“国家建设高水平大学公派研究生项目校内专家组”评审,现对我校2022年国家建设高水平大学公派研究生项目联合培养博士研究生推荐名单予以公示,具体名单见附件。
对公示人员有异议的,公示期内,请与研究生院联系。
公示时间:2022年6月1日-6日
联系邮箱:graduate_academic@163.com
研究生院培养办
2022年6月1日
发布日期:2022-06-01 13:53:07
根据国家留学基金委的有关选拔原则与具体要求,经个人申请、“国家建设高水平大学公派研究生项目校内专家组”评审,现对我校2022年国家建设高水平大学公派研究生项目联合培养博士研究生推荐名单予以公示,具体名单见附件。
对公示人员有异议的,公示期内,请与研究生院联系。
公示时间:2022年6月1日-6日
联系邮箱:graduate_academic@163.com
研究生院培养办
2022年6月1日